Fot. ZF. Rys. Jacek Kubiś, Wimad
Rozmieszczenie elementów: 1. czujniki, 2. elektrozawory, 3. elektroniczna jednostka sterująca
Co około 10 lat ponawiane są próby wprowadzania na rynek przestarzałych już i (zdawałoby się) całkiem zapomnianych metod oceny stanu zawieszenia i dostosowanych do nich przyrządów diagnostycznych.
Są to metody oparte na zasadzie wymuszania niskich częstotliwości (do 5 Hz) drgań. Czynnikiem wymuszającym bywa w nich: manualne ugięcie zawieszenia, gwałtowny zjazd kół jednej osi z klina o wysokości ok. 10 cm lub podstawiana pod koła zapadnia o 10-centymetrowym skoku.
Wady i ograniczenia poszczególnych odmian metody niskoczęstotliwościowej są na tyle istotne, że czynią ją nieprzydatną w profesjonalnej diagnostyce. Pierwszy z wymienionych sposobów wymuszania drgań może być stosowany tylko przy lekkich pojazdach, gdyż ugięcie zawieszenia np. samochodu typu SUV siłą ludzkich mięśni jest prawie niemożliwe. Poza tym każdy taki zabieg ma przebieg niekontrolowany i niepowtarzalny. Przy dwu kolejnych sposobach można już mówić o pewnej powtarzalności, lecz rejestracja ruchów nadwozia nie pozwala dokładnie określić stanu zawieszeń ani jego różnic między stronami pojazdu.
Mechanicy skłonni rozstrzygać wszelkie wątpliwości na korzyść wymiany kontrolowanych podzespołów powiedzą, że nie trzeba identyfikować wadliwego amortyzatora, skoro wymienia się je zawsze parami. Racja, lecz nie o to chodzi. Omawiana metoda nie ujawnia niesprawności amortyzatora w zakresie rezonansowym, bo takie częstotliwości wymuszenia nie występują podczas pomiaru. Wynik pozwala stwierdzić, czy tłumienie w zawieszeniu jest obecne lub nie, i to tylko w pierwszym zakresie częstości rezonansowych. Tak więc nie można w ten sposób wykryć na przykład braku przyczepności związanej z odrywaniem się koła od drogi wskutek rezonansu mas nieresorowanych (koła).

Przebieg pomiaru i jego interpretacja na ekranie urządzenia wykorzystującego technikę niskoczęstotliwościową (do 5 Hz)
Tej wady nie ma wykorzystywana przez niektórych producentów urządzeń diagnostycznych wysokoczęstotliwościowa metoda drgań wymuszonych – Boge. Wymaga ona wprawienia płyty, na której stoi badane koło, w drgania o częstotliwości 2-10 Hz i skoku 6,5 mm. Wyłączenie napędu powoduje absorbowanie drgań głównie przez amortyzator i ich zanikanie. Przy ciągłej rejestracji przebiegu drgań w zakresie częstości rezonansowych widać znaczny wzrost amplitudy. Jego wielkość zależy od siły tłumienia i konstrukcji zawieszenia konkretnego samochodu.
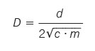
Pomiar przebiega według zależności:

gdzie:
D – stopień tłumienia,
d – stała tłumienia amortyzatora [kg/s],
c – stała sprężyny [N/m],
m – masa ćwiartki pojazdu (wg modelu ćwiartkowego) [kg]
Stopień tłumienia powinien zawierać się w granicach 0,2-0,35. Zawieszeń sportowych dotyczą jego wyższe wartości, a „komfortowych” – niższe. Niestety wzorcowe zakresy stopnia tłumienia nie są podawane przez producentów pojazdów, chociaż nawet w materiałach instruktażowych testera Boge można przeczytać: „Ocena tłumienia drgań osi jest możliwa poprzez porównanie z wartościami wzorcowymi i granicznymi możliwymi do zadeklarowania w programie (urządzenia)”. Wartość stopnia tłumienia określa się przez porównanie otrzymanych wykresów drgań z charakterystykami wzorcowymi dla danego pojazdu, wprowadzonymi do pamięci komputera. W trakcie pomiaru rejestrowana jest amplituda podczas rezonansu, obliczana stała tłumienia D oraz wskaźniki różnicowe pomiędzy stroną lewą a prawą.
Drgania tłumione i nietłumione dla mas resorowanych (nadwozia) i nieresorowanych (koło + zawieszenie)
Poważną niedogodność stanowi więc pozyskanie niezbędnych informacji, a także możliwość stosowania wyłącznie zamienników przebadanych przez producenta samochodu.
Stała tłumienia amortyzatora , znana również pod nazwą „Theta – stała zaniku drgań”, jest zdefiniowana jako:

gdzie: – stała tłumienia zawieszenia [Ns/m],
CGes – suma stałych sp
rężyny całego stanowiska [N/m],
r – skok płyty testera (promień wykorbienia) [mm],
fMessung – częstotliwość przy maksymalnej amplitudzie [1/s],
X1 – podwójna amplituda płyty przy częstości rezonansowej [mm],
dPruefstand – stała tłumienia stanowiska [Ns/m].
Przy pomiarze rejestrowanym w czasie rzeczywistym otrzymujemy wartość amplitudy przemieszczeń koła, rozumianej tu jako amplituda tłoczyska amortyzatora. Z wykresu wynika, że:
Zapis przebiegu pomiaru a) na tarczy, b) na taśmie
Wskaźnik D (dla metody Boge), jak i omawiany w poprzednim odcinku wskaźnik akryt (dla metody Eusama) stanowią podstawę do niezależnej oceny stanu zawieszenia na stanowiskach opartych o wymuszenie wysokoczęstotliwościowe. Niektórzy naukowcy twierdzą jednak, że wyniki pomiarów prowadzonych metodami wysokoczęstotliwościowymi są subiektywne. Dlatego proponują „oczujnikowanie” elementów zawieszenia i odczyt ich przemieszczeń przez komputer. Z pierwotnego oprzyrządowania pozostałby wówczas jedynie zespół wymuszający drgania.
Tu jednak rysuje się niebezpieczeństwo zdominowania tych badań przez zamknięte systemy diagnostyki pokładowej (OBD). Użyłem słowa zamknięte, ponieważ o dostępności danych wzorcowych i „ujawnionych” decydowałby producent samochodu. Nie byłoby kryteriów oceny i interpretacji pomiarów dostępnych dla każdego wykształconego diagnosty, pola do modyfikacji zawieszeń np. sportowych, ani też obiektywnych warunków do rozstrzygania sporów pomiędzy producentem a klientem lub warsztatem.
W artykule wykorzystano materiały firm: Maha i M-Tronic z zastosowaniem oryginalnych oznaczeń.

0 komentarzy dodaj komentarz