Rozporządzenie Ministra Przedsiębiorczości i Technologii z dnia 30 października 2018 r. (Dz.U. z 2018 r. poz. 2176) w sprawie warunków technicznych dozoru technicznego w zakresie eksploatacji, napraw i modernizacji urządzeń transportu bliskiego zobowiązuje użytkowników podnośników samochodowych do obliczania resursu. Wprowadzenie w życie tych przepisów nadzorują inspektorzy Urzędu Dozoru Technicznego.
Resurs, według definicji, to ustalony teoretycznie lub doświadczalnie czas eksploatacji urządzenia, wyrażony w odpowiednich dla niego jednostkach. Przyjmuje się, że w tym okresie zagwarantowana jest jego sprawność i bezpieczeństwo użytkowania. Dla pojazdów resurs określa się przebiegiem, czyli liczbą przejechanych kilometrów, dla statków powietrznych wyraża się go w godzinach lub latach, dla maszyn i urządzeń – także w cyklach. Resurs może być również wyrażony w procentach, przy czym 100% to resurs nowego urządzenia, a 0% oznacza zakończenie okresu bezpiecznej eksploatacji.
Resurs każdego podnośnika samochodowego musi zostać wyznaczony i być okresowo kontrolowany. Konieczne jest prowadzenie dodatkowej dokumentacji i sporządzanie raportów.
W praktyce spotkamy się z trzema przypadkami dostosowania do przepisu:
Najmniej kłopotów sprawia nowy podnośnik. Zazwyczaj producent podaje czas eksploatacji ważniejszych zespołów i mechanizmów w instrukcji obsługi. Na przykład AMI wymienia główne części podnośnika i podaje ich żywotność: kolumny – 10 lat, liny – 5 lat itd.
Precyzja szacowania jest najwyższa, jeśli podnośnik wyposażono w urządzenie rejestrujące pracę. Gdy w dokumentacji nie ma żadnej wzmianki o resursie, należy dokładnie sprawdzić, czy deklaracja zgodności WE nie budzi wątpliwości i zastosować normę EN1493:2010 Dźwigniki samochodowe. W punkcie 5.7.1 tej normy znajduje się zapis zobowiązujący wytwórcę do takiego zaprojektowania i wyprodukowania urządzenia, aby wykonał bezpiecznie 22 000 pełnych cykli uniesienia i opuszczenia przy obciążeniu nominalnym. W deklaracji zgodności WE podnośnika powinno znajdować się powołanie na normę EN1493:2010, a wtedy jako resurs przyjmuje się 22 tysiące cykli. Do śledzenia resursu stosuje się różne metody dokumentowania. Konserwatorzy zakładają automatyczne rejestratory czasu pracy, co pozwala na proste przeliczenie na cykle, lub zalecają ich liczenie i notowanie w dziennikach.
Z podnośnikami wieloletnimi sprawa jest trudniejsza. Firma Werther pokazuje, jak to zrobić legalnie i zgodnie ze sztuką inżynierską. Resurs podnośnika można szacować identycznie jak żurawia budowlanego i innych podobnych urządzeń za pomocą normy ISO 12482:2014 Cranes – Monitoring for crane design working period.
Dane potrzebne do obliczeń są następujące:
Zgodnie z normą ISO 12482:2014, projektowany okres użytkowania dźwignika jest osiągnięty, gdy rzeczywisty stan obciążenia osiągnął wartość projektowaną:

gdzie:
Wyrażenie określa widmo obciążenia podnośnika – w ten sposób obliczenia uwzględniają częściowe obciążenia, mniejsze od wartości dopuszczalnych. Norma wręcz zaleca, aby obciążeń rzędu 20% i mniejszych nie uwzględniać w szacowaniach. Ogólnie zrozumiałe jest, że gdy stosujemy podnosnik 5-tonowy do serwisowania samochodów osobowych, jego wysiłek jest o wiele mniejszy niż przy podonoszeniu przeładowanych Crafterów.
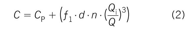
Praktyczne liczenie resursu opisuje zależność:

gdzie:
C – resurs [cykli];
CP – wartość resursu oszacowana przy poprzedniej ocenie podnośnika, dla nowego podnośnika przyjąć CP = 0;
f1 – współczynnik bezpieczeństwa: przyjąć 1.3 w wypadku danych przybliżonych; 1.5 – przy nieznanej historii podnośnika;
d – liczba dni pracy podnośnika w ocenianym okresie, w ciągu roku jest przeciętnie 250 dni roboczych;
n – przeciętna dzienna ilość cykli roboczych dźwignika;
Q – udźwig znamionowy dźwignika w kg;
Qi – nieprzekraczalny ciężar podnoszonego samochodu w kg.
Do odtworzenia resursu powyższe wyrażenie jest bardzo wygodne:
Werther na swojej stronie internetowej www.werther.pl/resurs-podnosnikow-kalkulator.html uruchomił darmowy kalkulator resursu swoich podnośników. Kalkulator ten można wykorzystywać także dla innych marek. Również na tej stronie znajduje się wzór Dziennika konserwacji – kolejnej dokumentacji wymaganej dla podnośników w formie papierowej lub elektronicznej.
A co z podnośnikami, których resurs ewidentnie się wyczerpał? Ustawodawca przewidział przeprowadzanie szczegółowych badań nieniszczących, sprawdzających konstrukcję, spawy i mechanizmy przed dalszym dopuszczeniem do eksploatacji. Formularz takiego badania również jest do pobrania ze strony www.werther.pl.

Wzór dziennika konserwacji

Wzór karty konserwacji

Darmowy Kalkulator Resursu na stronie www.werther.pl

0 komentarzy dodaj komentarz